Сулфобутил бета циклодекстрин натријум ЦАС БРОЈ 182410-00-0

Сулфобутил бета циклодекстрин натријум ЦАС БРОЈ 182410-00-0

Сулфобутил бета циклодекстрин натријум ЦАС БРОЈ 182410-00-0
ЦАС број: 182410-00-0
Молекуларна формула: Ц42Х70-нО35·(Ц4Х8СО3На)н
Степен: Ињецтион Граде
Извршни стандард: УСП / ЕП / Ентерприсе Стандард
Област примене: Фармацеутска употреба
Паковање: 500 г/кеса; 1 кг / врећа; 10 кг / врећа или бубањ; доступно прилагођено паковање

Пошаљи упит

Опис производа

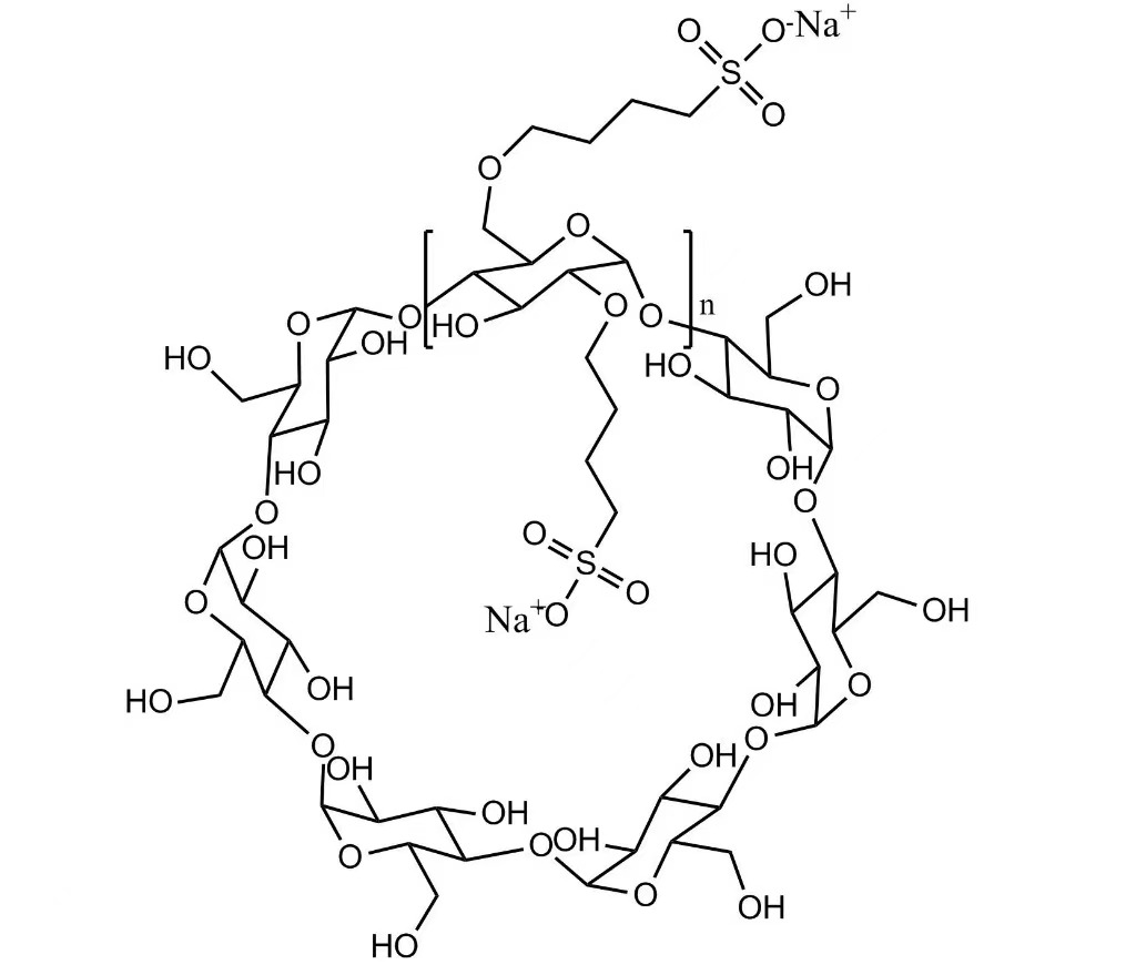
Сулфобутил бета циклодекстрин натријум ЦАС БРОЈ182410-00-0

Сулфобутил етар бета циклодекстрин натријум (врста ињекције)је ањонски дериват циклодекстрина високих перформанси произведен одКси'ан ДЕЛИ Биоцхемицал Индустри Цо., Лтд.. Широко се користи као фармацеутски ексципијент за побољшање растворљивости, стабилности и безбедности лека у различитим дозним облицима.

Овај производ се формира стабилнонековалентни инклузиони комплексиса активним фармацеутским састојцима, посебно лековима који садрже азот, који помажу да се побољша биодоступност, смањи токсичност и прикрије непријатан мирис или укус.

Сулфобутил етар бета циклодекстрин натријум је успешно примењен у ињекцијама, оралним, назалним и офталмолошким формулацијама и препознат је као сигурнија алтернатива традиционалним дериватима бета-циклодекстрина.

Спецификације производа

Назив производа:Сулфобутил етар бета циклодекстрин натријум
ЦАС број:182410-00-0
Молекуларна формула:Ц42Х70-нО35·(Ц4Х8СО3На)н
оцена:Ињецтион Граде
Извршни стандард:УСП / ЕП / Ентерприсе Стандард
Област примене:Фармацеутска употреба

Паковање:500 г/кеса; 1 кг / врећа; 10 кг / врећа или бубањ; доступно прилагођено паковање


Опис и растворљивост/ погледајте детаље у УСП монографији

Бели до готово бели, аморфни прах. Слободно растворљив у води; слабо растворљив у метанолу; практично нерастворљив у етанолу, у н-хексану, у 1-бутанолу, у ацетонитрилу, у 2-пропанолу и у етилацетату

Идентификација А/ИР; УСП<197К>

У складу са СБЕЦД референцом

Идентификација Б/(метод анализе)ХПЛЦ;

УСП<621>

тР главног врха је у складу са СБЕЦД  референцом

Идентификација Ц/ЦЕ; УСП<1053>

Испуњава захтеве теста за Просечан степен замене.

Идентификација Д/УСП<191>

Позитиван тест на натријум

Тест/ХПЛЦ;УСП<621>

95,0%-105,0% на анхидровану основу

Граница бета циклодекстрина (Бетадекс)/ИЦ;

УСП<621>;УСП<1065>

 НМТ 0,1%

Граница 1,4-бутан султона /ГЦ;УСП<621>,

 НМТ 0,5 ппм

Граница натријум хлорида /ИЦ;

УСП<621>;УСП<1065>

 НМТ 0,2%

Граница 4-хидроксибутан-1-сулфонске киселине /ИЦ;УСП<621>;УСП<1065>

 НМТ 0,09%

Граница бис(4-сулфобутил) динатријум етра /ИЦ;УСП<621>;УСП<1065>

 НМТ 0,05%

Тест на бактеријске ендотоксине/УСП<85>

≤10ЕУ/г

Тестови бројања микроба/УСП<61>

ТАМЦ≤100цфу/г

ТИМЦ≤50 цфу/г

Тестови на одређене микроорганизме/УСП<62>

Одсуство Есцхерицхиа Цоли/1г

Јасноћа решења (30%, в/в)/визуелно; погледајте детаље у УСП монографији

Решење је јасно и у суштини без честица страних материја.

Просечан степен замене [ДС]/ЦЕ;УСП<1053>

6.2-6.9


ЦОА производа

Свака серија одСулфобутил етар бета циклодекстрин натријум (врста ињекције)прати потпунаСертификат о анализи (ЦОА).

ЦОА покрива изглед, идентификацију, анализу, границе нечистоћа, бактеријске ендотоксине, микробне границе и просечан степен замене у складу са захтевима УСП.

ЦОА и релевантни технички документи доступни су на захтев за преглед квалитета и регулаторне референце.

Предности производа

1. Одлична растворљивост у води погодна за формулације за ињекције.
2. Формира стабилне инклузивне комплексе са широким спектром активних фармацеутских састојака.
3. Побољшава растворљивост и биодоступност слабо растворљивих лекова.
4. Смањује бубрежну токсичност и минимизира хемолитичке ефекте.
5. Помаже у контроли брзине ослобађања лека и маскира непријатан мирис или укус.
6. Квалитет квалитета убризгавања у складу са УСП стандардима.


Информације о компанији

Кси'ан ДЕЛИ Биоцхемицал Индустри Цо., Лтд. је основана 1999. године и фокусирала се на истраживање, развој и производњу циклодекстрина и његових деривата више од 26 година.

Компанија је специјализована за фармацеутске ексципијенте и снабдева глобалним купцима производе засноване на циклодекстрину за фармацеутске, ветеринарске и хемијске примене.

Са стабилним производним процесима и строгим управљањем квалитетом, Кси'ан ДЕЛИ Биоцхемицал Индустри Цо., Лтд. је посвећен пружању поузданих производа и дугорочне сарадње.


Предности компаније

Кси’ан ДЕЛИ Биоцхемицал Индустри Цо., Лтд. има преко 20 година искуства у истраживању, развоју и производњи фармацеутских ексципијената на бази циклодекстрина. Компанија се фокусира на обезбеђивање висококвалитетних, поузданих и усаглашених ексципијената глобалним фармацеутским партнерима и партнерима за формулације.

Производни процес је успостављен уз строгу контролу квалитета у свакој фази, од одабира сировина до пуштања у продају готовог производа. Свака серија је произведена према добро дефинисаном систему управљања квалитетом и праћена је комплетном документацијом, укључујући сертификат о анализи (ЦОА) и записе о следљивости.

Сулфобутил етар бета-циклодекстрин натријум компаније производи се у складу са захтевима УСП и широко се користи у парентералним, оралним и другим фармацеутским формулацијама. Стабилна конзистенција од серије до серије обезбеђује поуздане перформансе у солубилизацији лека, стабилизацији и развоју формулације.

Са наменским техничким тимом, Кси’ан ДЕЛИ Биоцхемицал Индустри Цо., Лтд. пружа професионалну техничку подршку, упутства за формулацију и помоћ у вези са регулаторном документацијом како би се задовољиле специфичне потребе корисника за апликације и регистрацију.

Често постављана питања (ФАК)

П1: Која је главна функција сулфобутил етар бета циклодекстрин натријум?
Углавном се користи као солубилизатор и агенс за стварање комплекса за побољшање растворљивости, стабилности и безбедности лекова у фармацеутским формулацијама.


П2: Да ли је овај производ погодан за формулације за ињекције?
Да, то је степен за ињекције и усклађен је са захтевима УСП за парентералну употребу.


П3: Да ли производ формира ковалентне комплексе са лековима?
Не, формира стабилне нековалентне инклузивне комплексе са молекулима лека.


П4: Може ли овај ексципијент смањити токсичност лека?
Да, може помоћи у смањењу бубрежне токсичности и хемолитичких ефеката у поређењу са неким традиционалним солубилизаторима.


П5: Који облици дозе могу користити овај производ?
Погодан је за ињекције, оралне, назалне и офталмолошке дозне облике.


П6: Да ли је доступна техничка подршка?
Да, техничка подршка и упутства за апликацију могу бити обезбеђени на захтев.


П7: Које величине паковања су доступне?
Стандардно паковање укључује 500 г, 1 кг и 10 кг. Прилагођено паковање је доступно.


П8: Који је рок трајања производа?
Рок трајања је 36 месеци када се чува у затвореним и одговарајућим условима.




Хот Тагс: Сулфобутил бета циклодекстрин натријум ЦАС БРОЈ 182410-00-0, произвођачи, добављачи, Кина, фабрика, расути, бесплатни узорак, произведено у Кини, на лагеру, велепродаја, куповина

Повезана категорија

Пошаљи упит

Слободно пошаљите свој упит у форму испод. Одговорићемо вам у року од 24 сата.
icon
X
Користимо колачиће да бисмо вам понудили боље искуство прегледања, анализирали саобраћај на сајту и персонализовали садржај. Коришћењем овог сајта прихватате нашу употребу колачића. Политика приватности
Одбити Прихвати