Индустри Невс

Решења заснована на циклодекстрину за побољшање растворљивости и стабилности

2025-12-23 - Оставите ми поруку

Решења заснована на циклодекстрину за побољшање растворљивости и стабилности

Технички преглед хидроксипропил бетадекса и бетадек сулфобутил етра натријум

Циклодекстрини су широко познати по својој способности да побољшају растворљивост и стабилност слабо растворљивих или хемијски осетљивих једињења. Због своје јединствене цикличне молекуларне структуре, циклодекстрини и њихови деривати су постали важни функционални ексципијенти у фармацеутским, хемијским и сродним областима формулације. Као одговор на све веће техничке и регулаторне захтеве, Кси’ан Дели Биоцхемицал је додатно побољшао техничку документацију и подршку производа за своје кључне деривате циклодекстрина:хидроксипропил бетадекс (ХПБЦД) и бетадекс сулфобутил етар натријум (СБЕЦД).


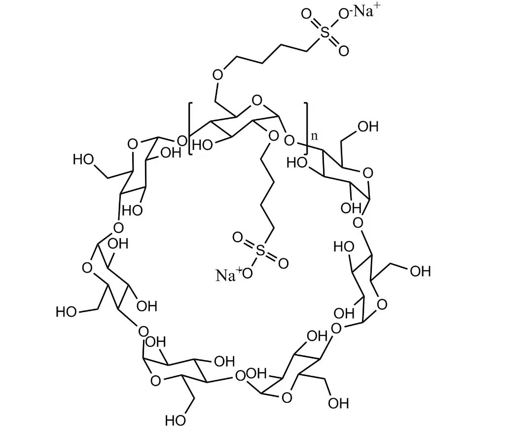
Структурне карактеристике и функционалне перформансе циклодекстрина

Циклодекстрини су циклични олигосахариди састављени од јединица глукозе повезаних α-1,4 гликозидним везама. Њихова молекуларна архитектура карактерише хидрофилна спољашња површина и релативно хидрофобна унутрашња шупљина, омогућавајући формирање инклузијских комплекса са широким спектром молекула гостију. Хемијска модификација структуре циклодекстрина може значајно побољшати растворљивост у води и проширити свестраност примене.


хидроксипропил бетадекс (ХПБЦД)


Хидроксипропил бетадекс је хемијски модификовани β-циклодекстрин дизајниран да превазиђе ограничену растворљивост природних циклодекстрина. Његова побољшана растворљивост у води и повољна компатибилност чине ХПБЦД погодним за апликације које захтевају ефикасну солубилизацију, стабилизацију и флексибилност формулације у различитим системима.


Бетадек сулфобутил етар натријум (СБЕЦД)


Бетадекс сулфобутил етар натријум је ањонски дериват циклодекстрина који карактеришу сулфобутил етарски супституенти. Ова структура побољшава електростатичке интеракције са специфичним једињењима, подржавајући побољшану растворљивост, стабилност комплекса и робусност формулације у захтевнијим применама.

Стандардизоване информације о производу и техничка подршка

Да би боље подржао развој формулације, евалуацију квалитета и процесе набавке, Кси’ан Дели Биоцхемицал је систематски ажурирао информације о производима за ХПБЦД и СБЕЦД, укључујући:


  • Јасно дефинисане и стандардизоване спецификације производа и аналитички параметри
  • Сертификати анализе специфични за серију (ЦОА) да би се обезбедила следљивост и провера квалитета
  • Проширена техничка најчешћа питања која се односе на руковање, складиштење и типична разматрања примене
  • Оптимизовани резимеи производа дизајнирани да олакшају ефикасан технички преглед и избор


Ова побољшања имају за циљ да побољшају транспарентност, смање временске рокове евалуације и подрже доследне перформансе производа током циклуса снабдевања.


Искуство у производњи и осигурање квалитета

Основана 1999. године, Кси’ан Дели Биоцхемицал доноси 26 година искуства у производњи деривата циклодекстрина. Компанија се фокусира на контролисану производњу хидроксипропил бетадекса и бетадекс сулфобутил етра натријума, наглашавајући конзистентност процеса, поузданост од серије до серије и дугорочну стабилност снабдевања. Структурисане праксе управљања квалитетом подржавају техничке, регулаторне захтеве и захтеве купаца.


Обим примене и техничка сарадња

На основу механизама укључивања и стабилизације циклодекстрина, ХПБЦД и СБЕЦД су применљиви у више техничких области, укључујући фармацеутске формулације, специјалне хемикалије, ветеринарске производе и друге системе који захтевају побољшану растворљивост и стабилност. Кси’ан Дели Биоцхемицал наставља да се сарађује са партнерима кроз комуникацију усмерену на апликацију и техничку сарадњу како би подржала потребе за формулацијом у развоју.


О компанијама из биохемијске индустрије Кси’ан Дели

Основана 1999. године, Кси’ан Дели Биоцхемицал Индустри Цомпаниес је специјализовани произвођач деривата циклодекстрина, који снабдева хидроксипропил бетадекс (ХПБЦД) и бетадек сулфобутил етар натријум (СБЕЦД) глобалним купцима. Са дугогодишњим фокусом на конзистентност производа, јасне спецификације и практичну техничку подршку, компанија остаје посвећена пружању поузданих решења заснованих на циклодекстрину.


Ако желите, могу такође:


  • Даље оптимизујте ово за Гоогле СЕО (без смањења техничког тона)
  • Кондензујте га у верзију „Техничко ажурирање“ на страници производа
  • Прилагодите га регулаторним / квалитетним купцима


Само ми реци где планираш да га објавиш.


Пошаљи упит


icon
X
Користимо колачиће да бисмо вам понудили боље искуство прегледања, анализирали саобраћај на сајту и персонализовали садржај. Коришћењем овог сајта прихватате нашу употребу колачића. Политика приватности
Одбити Прихвати