Сулфобутил етар бета циклодекстрин за ињекције је врхунски ексципијент за парентералне формулације лекова. Кси’ан ДЕЛИ Биоцхемицал обезбеђује СБЕβЦД високе чистоће са доследним квалитетом и техничком подршком. Контактирајте нас данас за узорке и детаљне информације о производу.
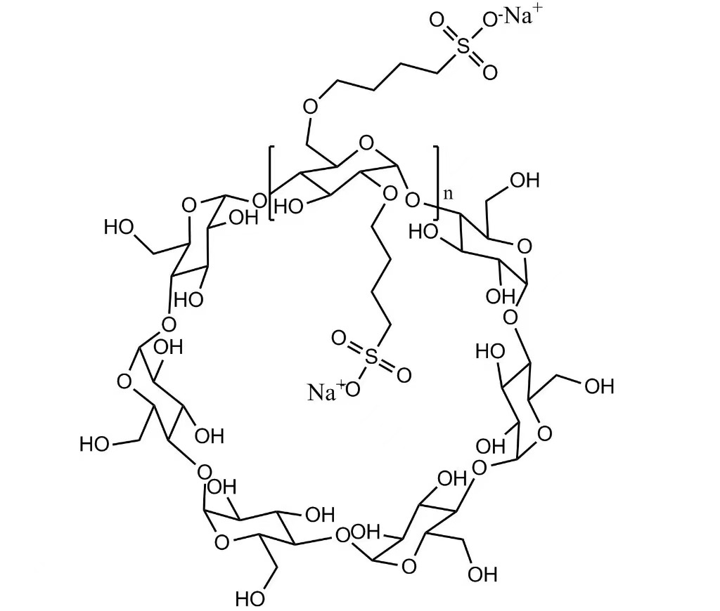
Сулфобутил етар бета циклодекстрин за ињекције(СБЕβЦД) је дериват циклодекстрина високе чистоће растворљив у води посебно дизајниран заињекционе и парентералне формулације лекова. Побољшава растворљивост, стабилност и биодоступност слабо растворљивих активних фармацеутских састојака (АПИ), формирајући стабилне инклузивне комплексе који обезбеђују доследну испоруку лека и терапеутски учинак.
Погодно за интравенозну, интрамускуларну и поткожну примену,СБЕβЦДспречава таложење, смањује хемијску деградацију и подржава осетљиве АПИ-је у офталмолошким растворима, спрејевима за нос и другим течним формулацијама. Његова одлична растворљивост у води, ниска токсичност и биокомпатибилност чине га пожељним ексципијенсом за истраживања, клинички развој и комерцијалне производе за ињекције.
Кси'ан ДЕЛИ Биоцхемицал Индустри Цо., Лтд., основана 1999. године, има преко 26 година искуства у производњи деривата циклодекстрина укључујући СБЕЦД и Хидрокипропил Бетадек. Компанија обезбеђује конзистентне производе високе чистоће са строгом контролом квалитета, техничком подршком и поузданим глобалним снабдевањем за фармацеутска, ветеринарска и козметичка тржишта. Сертификати анализе (ЦОА), технички подаци и евалуације узорака су доступни да подрже ваш развој формулације.
Контактирајте нас данас да бисте затражили узорке, техничке податке или понуду заСулфобутил етар бета циклодекстрин за ињекције (СБЕβЦД)и побољшајте растворљивост, стабилност и перформансе ваших формулација за ињекције.

Бетадек сулфобутил етар натријум ЦАС БР. 182410-00-0
Сулфобутил етар бета циклодекстрин натријум
Бетадек сулфобутил етар натријум за ињекције
Бетадек сулфобутил етар натријум СБЕЦД за ињекције за формулације лекова
Бетадекс сулфобутил етар натријум ЦАС 182410-00-0
ДМФ Бетадек сулфобутил етар натријум 182410-00-0