Бетадек сулфобутил етар натријум за ињекције фармацеутски ексципијент ЕП УСП разред

Бетадек сулфобутил етар натријум за ињекције фармацеутски ексципијент ЕП УСП разред

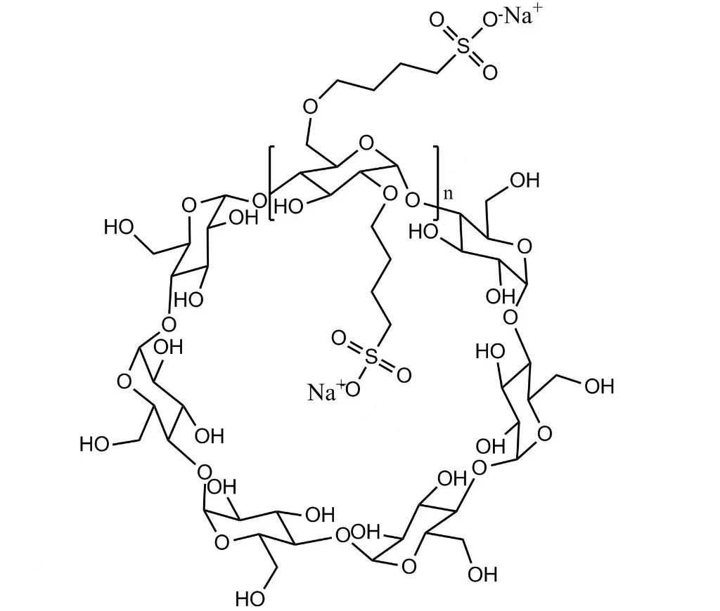
Бетадек сулфобутил етар натријум ињекциони фармацеутски ексципијент ЕП УСП Граде (ЦАС 182410-00-0) је високо растворљив у води дериват циклодекстрина који се користи као солубилизатор и стабилизатор у формулацијама лекова за ињекције, побољшавајући растворљивост, безбедност и биодоступност.

Пошаљи упит

Опис производа

Кси'ан Дели Биоцхемицал Индустри Цо., Лтд.је високотехнолошко предузеће специјализовано за истраживање, развој, производњу и продају деривата циклодекстрина. Основана 1999. године, компанија има преко 25 година искуства у фармацеутским ексципијентима, укључујућихидроксипропил бетадекс (ХПБЦД)иБетадек сулфобутил етар натријум (СБЕЦД). Компанија управља посвећеним чистим подручјима и напредним производним линијама, обезбеђујући висококвалитетне, стабилне и конзистентне производе за глобалне фармацеутске примене.

Опис производа

Бетадек сулфобутил етар натријум за ињекције фармацеутски ексципијент ЕП УСП разред(ЦАС 182410-00-0) је високо растворљив у води ањонски дериват циклодекстрина. СБЕЦД функционише као солубилизатор, агенс за влажење, агенс за хелирање и агенс за маскирање, побољшавајући растворљивост лека, стабилност и безбедност у ињекцијама, оралним, назалним и офталмолошким формулацијама. СБЕЦД се широко користи у антифунгалним, антивирусним, кардиоваскуларним и онколошким АПИ.

Спецификације производа

ЦАС број: 182410-00-0
Молекуларна формула: Ц42Х70-нО35·(Ц4Х8СО3На)н
Оцена: Ињекционо, ЕП и УСП усклађено
Изглед: Бели до готово бели аморфни прах
Тест: ≥99,0%
Примене: Ињекционе и парентералне фармацеутске формулације
Паковање: 500г/кеса; 1 кг / врећа; 10кг/врећи; 10кг/бубањ; доступно прилагођено паковање
Складиштење: Запечаћено и суво
Рок употребе: 36 месеци
ЦОА/Осигурање квалитета: 

Свака серија СБЕЦД је тестирана на чистоћу теста, бактеријски ендотоксин, заостале раствараче, тешке метале и просечни степен супституције (ДС), у складу са УСП и ЕП фармакопејским стандардима.

Апликације производа

Бетадек сулфобутил етар натријум се користи за побољшање растворљивости, смањење бубрежне токсичности, минимизирање хемолизе и побољшање усаглашености пацијената. СБЕЦД је погодан за интравенозне, интрамускуларне, назалне, оралне и офталмолошке системе испоруке. Формира инклузивне комплексе са слабо базичним АПИ-јима који садрже азот, обезбеђујући продужено ослобађање и побољшану стабилност.

Хидроксипропил Бетадекс (ХПБЦД) – Ињекциони и орални фармацеутски ексципијенс
Бетадек сулфобутил етар натријум (СБЕЦД) – дериват циклодекстрина за ињекције

ФАК

П: Да ли је Кси'ан Дели Биоцхемицал произвођач СБЕЦД-а?
О: Да, Кси'ан Дели Биоцхемицал производи Бетадек сулфобутил етар натријум (СБЕЦД) и ХПБЦД. Бета циклодекстрин се користи као сировина за производњу деривата.

П: Да ли су узорци доступни?
О: Да, СБЕЦД узорци су доступни за процену.

П: Који је капацитет серије и годишњи производни капацитет?
О: Капацитет серијске производње СБЕЦД-а је 2,5 тона, а годишња производња прелази 200 тона.

П: Који регулаторни документи су обезбеђени?
О: ЦОА, МСДС, подаци о стабилности и технички досијеи су доступни за све серије.

П: Опције испоруке?
О: Глобална испорука ваздушним путем, морем или експресном курирском службом.

Хот Тагс: Бетадек сулфобутил етар натријум ињекциони фармацеутски ексципијент ЕП УСП разред, произвођачи, добављачи, Кина, фабрика, расути, бесплатни узорак, произведено у Кини, на лагеру, велепродаја, куповина

Повезана категорија

Пошаљи упит

Слободно пошаљите свој упит у форму испод. Одговорићемо вам у року од 24 сата.
icon
X
Користимо колачиће да бисмо вам понудили боље искуство прегледања, анализирали саобраћај на сајту и персонализовали садржај. Коришћењем овог сајта прихватате нашу употребу колачића. Политика приватности
Одбити Прихвати